Beranda
/ Integral Parsial Eksponen / 1 / Subanar alam mata kuliah kalkulus i anda telah mengenal bahwa integrasi adalah proses balikan dari diferensiasi.
Integral Parsial Eksponen / 1 / Subanar alam mata kuliah kalkulus i anda telah mengenal bahwa integrasi adalah proses balikan dari diferensiasi.
Integral Parsial Eksponen / 1 / Subanar alam mata kuliah kalkulus i anda telah mengenal bahwa integrasi adalah proses balikan dari diferensiasi.. Terkadang e x biasa ditulis menjadi exp (x) jadi. Perhatikan pembahasan 5 soal berikut ini. Untuk lebih jelasnya, ikutilah contoh soal berikut ini. Bagaimana cara untuk menentukan hasil integral parsial? Fungsi eksponensial adalah fungsi yang biasa dinotasikan dalam bentuk (e pangkat x).
Pengembangan dari rumus diatas adalah dengan menggunakan aturan substitusi dan parsial. Fungsi eksponensial adalah fungsi yang biasa dinotasikan dalam bentuk (e pangkat x). More images for integral parsial eksponen » Sehingga diperoleh rumus integral sebagai berikut. ∫exp (x) dx = exp (x) + c.
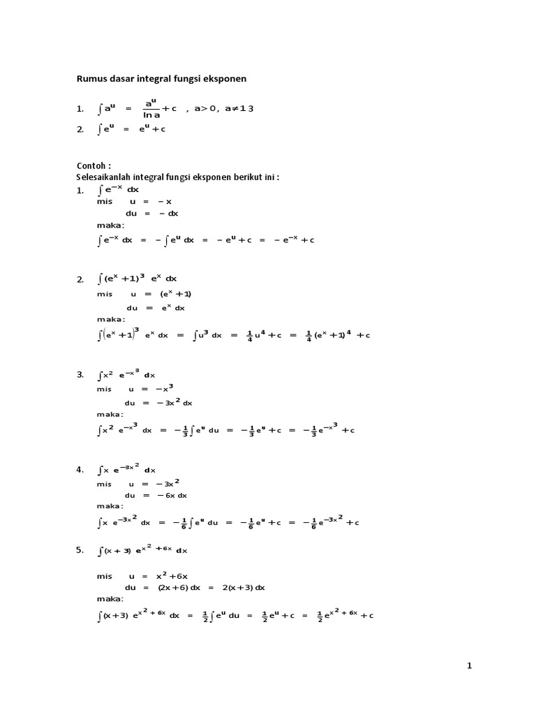
Integral Parsial Eksponen Safekey from 3.bp.blogspot.com Apakah fungsi eksponensial merupakan fungsi integral? Biasanya, cara ini digunakan untuk metode yang ada untuk menyelesaikan soal integral tidak bisa digunakan. Sehingga diperoleh rumus integral sebagai berikut. Untuk mendapatkan integral bentuk eksponen dan logaritma, perlu diketahui turunannya terlebih dahulu yaitu. Apr 10, 2014 · integral fungsi eksponensial fungsi eksponensial adalah fungsi yang biasa dinotasikan dalam bentuk e^x (e pangkat x), dimana e adalah basis logaritma natural. More images for integral parsial eksponen » Dalam mengintegralkan fungsi eksponensial, ada 2 rumus dasar yang harus dipahami. Kedua rumus dasar tersebut antara lain :
Fungsi eksponensial adalah fungsi yang biasa dinotasikan dalam bentuk (e pangkat x).
Mengapa rumus integral parsial digunakan untuk menyelesaikan soal integral? Biasanya, cara ini digunakan untuk metode yang ada untuk menyelesaikan soal integral tidak bisa digunakan. Pengembangan dari rumus diatas adalah dengan menggunakan aturan substitusi dan parsial. Sehingga diperoleh rumus integral sebagai berikut. Dalam mengintegralkan fungsi eksponensial, ada 2 rumus dasar yang harus dipahami. Untuk lebih jelasnya, ikutilah contoh soal berikut ini. Terkadang e x biasa ditulis menjadi exp (x) jadi. Apakah metode substitusi harus dilakukan dengan menggunakan integral parsial? ∫exp (x) dx = exp (x) + c. Apr 10, 2014 · integral fungsi eksponensial fungsi eksponensial adalah fungsi yang biasa dinotasikan dalam bentuk e^x (e pangkat x), dimana e adalah basis logaritma natural. Perhatikan pembahasan 5 soal berikut ini. Dengan e adalah bilangan natural yang besarnya. Subanar alam mata kuliah kalkulus i anda telah mengenal bahwa integrasi adalah proses balikan dari diferensiasi.
Soal integral yang dapat di selesaikan menggunakan integral pasrsial terbagi menjadi 2 macam, 1 sebagai fungsi ( u ) dan satunya lagi untuk ( dv ). Bagaimana cara untuk menentukan hasil integral parsial? Mengapa rumus integral parsial digunakan untuk menyelesaikan soal integral? Dalam mengintegralkan fungsi eksponensial, ada 2 rumus dasar yang harus dipahami. Untuk mendapatkan integral bentuk eksponen dan logaritma, perlu diketahui turunannya terlebih dahulu yaitu.
Kalkulus 2 Integral Teknik Informatika Universitas Muhammadiyah Sukabumi from slidetodoc.com Kedua rumus dasar tersebut antara lain : Subanar alam mata kuliah kalkulus i anda telah mengenal bahwa integrasi adalah proses balikan dari diferensiasi. Rumus integral parsial juga digunakan untuk suatu soal integral yang sangat kompleks. Fungsi eksponensial adalah fungsi yang biasa dinotasikan dalam bentuk (e pangkat x). Bagaimana jika bilangan pokoknya bukan e ? Mengapa rumus integral parsial digunakan untuk menyelesaikan soal integral? Dalam mengintegralkan fungsi eksponensial, ada 2 rumus dasar yang harus dipahami. Untuk mendapatkan integral bentuk eksponen dan logaritma, perlu diketahui turunannya terlebih dahulu yaitu.
Biasanya, cara ini digunakan untuk metode yang ada untuk menyelesaikan soal integral tidak bisa digunakan.
Bagaimana cara untuk menentukan hasil integral parsial? Bentuk integral eksponen yang pertama kali harus kita ketahui adalah. Menentukan hasil dari integral suatu fungsi menggunakan konsep integral parsial atau integral sebagian dilengkapi dengan integral parsial umumnya digunakan pada integral hasil kali dua fungsi yang secara umum berbentuk ∫ f(x).g(x) dx. Apakah fungsi eksponensial merupakan fungsi integral? Mengapa rumus integral parsial digunakan untuk menyelesaikan soal integral? Pengembangan dari rumus diatas adalah dengan menggunakan aturan substitusi dan parsial. Kedua rumus dasar tersebut antara lain : More images for integral parsial eksponen » May 30, 2015 · integral dari fungsi eksponen. Dengan e adalah bilangan natural yang besarnya. Untuk mendapatkan integral bentuk eksponen dan logaritma, perlu diketahui turunannya terlebih dahulu yaitu. Perhatikan pembahasan 5 soal berikut ini. Soal integral yang dapat di selesaikan menggunakan integral pasrsial terbagi menjadi 2 macam, 1 sebagai fungsi ( u ) dan satunya lagi untuk ( dv ).
Terkadang e x biasa ditulis menjadi exp (x) jadi. Sehingga diperoleh rumus integral sebagai berikut. Apakah fungsi eksponensial merupakan fungsi integral? Perhatikan pembahasan 5 soal berikut ini. Dalam mengintegralkan fungsi eksponensial, ada 2 rumus dasar yang harus dipahami.
Integral Parsial Eksponen Cara Golden from 2.bp.blogspot.com Integral fungsi eksponen, fungsi trigonometri, fungsi logaritma dr. Untuk lebih jelasnya, ikutilah contoh soal berikut ini. Bentuk integral eksponen yang pertama kali harus kita ketahui adalah. Mengapa rumus integral parsial digunakan untuk menyelesaikan soal integral? More images for integral parsial eksponen » Sehingga diperoleh rumus integral sebagai berikut. Biasanya, cara ini digunakan untuk metode yang ada untuk menyelesaikan soal integral tidak bisa digunakan. Untuk mendapatkan integral bentuk eksponen dan logaritma, perlu diketahui turunannya terlebih dahulu yaitu.
Untuk mendapatkan integral bentuk eksponen dan logaritma, perlu diketahui turunannya terlebih dahulu yaitu.
Bentuk integral eksponen yang pertama kali harus kita ketahui adalah. Apakah fungsi eksponensial merupakan fungsi integral? Dalam mengintegralkan fungsi eksponensial, ada 2 rumus dasar yang harus dipahami. Biasanya, cara ini digunakan untuk metode yang ada untuk menyelesaikan soal integral tidak bisa digunakan. Soal integral yang dapat di selesaikan menggunakan integral pasrsial terbagi menjadi 2 macam, 1 sebagai fungsi ( u ) dan satunya lagi untuk ( dv ). Dengan e adalah bilangan natural yang besarnya. Bagaimana jika bilangan pokoknya bukan e ? Dalam mengintegralkan fungsi eksponensial, ada 2 rumus dasar yang harus dipahami. Sehingga diperoleh rumus integral sebagai berikut. Subanar alam mata kuliah kalkulus i anda telah mengenal bahwa integrasi adalah proses balikan dari diferensiasi. Contoh soal integral parsial eksponen.demikianlah pembahasan tentang integral, semoga bermanfaat. Perhatikan pembahasan 5 soal berikut ini. May 30, 2015 · integral dari fungsi eksponen.
Berbagi
Posting Komentar
untuk "Integral Parsial Eksponen / 1 / Subanar alam mata kuliah kalkulus i anda telah mengenal bahwa integrasi adalah proses balikan dari diferensiasi."
Posting Komentar untuk "Integral Parsial Eksponen / 1 / Subanar alam mata kuliah kalkulus i anda telah mengenal bahwa integrasi adalah proses balikan dari diferensiasi."